1 技术背景
数字图像相关(DIC, Digital Image Correlation)作为一种非接触式全场变形测量技术,通过追踪材料表面散斑图案的几何位置变化,实现位移场与应变场的定量分析。
标准DIC技术采用“先采集、后处理”的离线模式:先采集实验图像,再通过图像匹配算法计算每帧的位移与应变,这种方式精度高,但计算耗时较长,难以满足动态加载实验、实时结构监测或工业闭环控制的需求。
为解决计算效率与测量精度之间矛盾,中科君达视界算法工程师们通过引入高阶图像采样插值算法和高性能计算架构,实现毫秒级的计算反馈,使实验过程中的瞬态变形捕捉与在线质量监控成为可能。
2 技术原理
2.1 局部位移求解
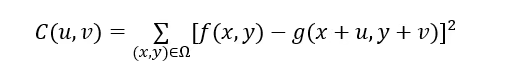
数字图像相关(DIC)方法计算的起点,追踪材料表面散斑图案在加载前后的位移,核心通过最小化参考图像与变形图像子集间的灰度差异,确定物点在像素层级的粗略位移(u,v),其中f(x,y) 和 g(x,y)分别为加载前后的图像灰度值,Ω为子集区域。

2.2 双三次B样条插值
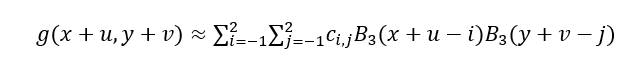
由于材料实际变形发生在像素之间,利用最小化灰度差准则获取的整数像素位移不足以支撑力学性能分析,故工程师们引入双三次B样条插值机制进行灰度重采样,利用4×4控制点构建连续的灰度曲面,确保位移求解过程的平滑性与稳定性。在变形图像中,坐标(x+μ,y+v)处的灰度值通过子集周围的灰度值Ci,j 加权计算获得:

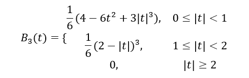
其中,B3(t)为三次B样条基函数,三段定义确保了在节点处的二阶连续性。

2.3 应变场计算
获取高精度位移场后,DIC应变测量系统基于拉格朗日应变张量计算大变形情况下的全场正应变和切应变。
3 效果展示
视频1为标准试件材料拉伸实验实时DIC测量结果(位移场应变场实时云图):
视频1
视频2~4为标准试件材料拉伸实验实时DIC测量结果(拉格朗日应变Exx,Eyy,Exy):
视频2-4
4 技术特性
实时数字图像相关(DIC)技术的核心价值体现在计算时效与测量精度的统一。中科君达视界工程师们通过算法结构重构与计算流程优化,实现毫秒级实时计算能力与亚像素级测量精度的同步满足,同时实时DIC技术具有良好的算法架构通用性,可拓延至其他专项DIC测量场景如引伸计、关键点的计算等。
4.1 毫秒级实时计算性能
局部子集并行化策略:实时DIC计算效率主要取决于计算点数量及大小,利用CPU多核架构对离散子集进行并行化任务分配,优化多线程访问逻辑,仅对预设的兴趣区域内的离散点进行计算,计算帧率仅取决于计算点数量,不受图像分辨率限制。
亚像素插值与优化:使用查表法(LUT)和预计算梯度技术,避免重复运算,降低内存带宽负载。
种子点预测:利用空间邻近子集位移或时间序列前帧预测值作为迭代初值,提升收敛效率。
基于不同素材性能测试结果如表1:

表1
实验结果表明,千眼狼实时DIC系统可实现“逐帧采集-逐帧计算-逐帧输出”的实时处理模式。
4.2 亚像素级测量精度
在位移反演过程中,千眼狼实时DIC系统采用高阶灰度插值方法对变形图像进行连续化处理,确保位移场光滑且稳定;同时通过采用对光照变化和噪声具有强鲁棒性的归一化相关准则,降低环境变化干扰;迭代求解过程中,通过改进的非线性优化策略保证收敛稳定性。一项与标准离线DIC的精度对比实验结果表明,实时DIC系统重建结果误差<1 μm,均值误差约0.22 μm,标准差为0.27 μm。

图1
4.3 算法架构的通用性
中科君达视界算法工程师们将基于亚像素插值的算法拓延至关键点和引伸计专项计算场景,以4096×3000分辨率的素材为例(10000计算点可以达到20 fps),实时关键点计算帧率可达500 fps,实时引伸计亦获得高加速比,计算帧率可达447 fps。验证了实时DIC算法在底层逻辑上已经消除冗余计算,算法的毫秒级响应能力可覆盖从准静态实验到高速动态监测需求。

图2
5 应用展望
实时数字图像相关(DIC)技术为材料力学研究提供新的实验手段,潜在应用包括:
动态力学性能测试:冲击、振动及疲劳实验中利用实时DIC捕捉应变集中和裂纹萌生,避免离线处理造成的数据缺失。
结构健康监测:实时DIC应用于桥梁、风电叶片及航空构件,通过长时连续监测实现早期损伤预警。
工业闭环控制:精密加工与机器人力控系统中实时DIC可作为高精度传感器输入,驱动微米级加工路径补偿。
中科君达视界自研的千眼狼实时数字图像相关(DIC)技术在标准DIC测量方法基础上,实现从离线分析向在线测量的转变。在时间分辨率、实验反馈能力及系统集成方面,为复杂力学实验研究提供了新的方法和路径。