1研究背景
中国铁道科学研究院的研究团队,通过中科君达视界提供的数字图像相关(Digital Image Correlation,DIC)技术,系统分析了WPMC在不同温度下的断裂韧性变化规律,建立了温度与WP含量的断裂韧性预测模型。
2实验原理与方法
实验采用基准混凝土与三种WP含量(5%、10%、15%)的WPMC试件,尺寸为100 mm×100 mm×400 mm。试件在标准养护56天后,进行20°C、40°C、60°C、80°C下的三点弯曲试验与断裂韧性测试。
2.2 数字图像相关DIC技术应用
试件表面喷涂哑光白漆作为背景,人工喷涂直径约0.5mm的黑色标记点,形成高对比度散斑场。DIC仪器以20 Hz频率与电液伺服试验机同步运行,实现荷载-变形过程的同步记录,再通过DIC软件提取底部拉伸应变,裂纹张口位移CMOD等关键参数。
3实验数据解析
基于千眼狼数字图像相关DIC技术提取的试件底部“弱区”处拉伸应变数据(图1),WPMC断裂过程可分为两个典型阶段:
I. 损伤累积期:荷载初期,微裂纹缓慢萌生与扩展,底面应变呈线性增长,以弹性变形为主。
II. 裂纹快速扩展期:荷载达到临界值后,主裂纹贯通,底面应变急剧上升,进入塑性变形主导阶段。

图1
DIC测量数据显示,随着WP掺量增加,WPMC在高温下仍保持较高的极限应变,说明WP显著提升了混凝土变形能力。
3.2 P-CMOD曲线与韧性评估
P-CMOD(荷载-裂纹张口位移)曲线是评估混凝土断裂性能的核心工具。DIC技术可提供全场变形信息作为CMOD数据补充,可视化验证P-CMOD曲线三个阶段:
I. 线弹性阶段:DIC数据显示,此阶段应变集中仅出现在预知裂缝尖端非常小的区域内,整个梁体应变分布均匀,验证材料线弹性行为。
II. 非线性软化阶段:荷载增速放缓,曲线偏离线性,标志微裂纹开始稳定扩展,DIC测量图像显示裂缝尖端前方出现应变集中带,表明损伤区形成。
III. 快速失稳阶段:普通混凝土在此阶段曲线陡降,表现为脆性破坏,WPMC的曲线下降则更为平缓。
DIC测量数据显示,随着WP掺量增加,阶段II显著延长,表明WP有效延缓裂纹扩展速率,提升材料断裂能。

图2
3.3 裂纹扩展过程可视化与BME模型验证
研究团队使用DIC仪器观测表面变形,将其作为精确测量裂纹扩展历史的工具,用于验证和校准边界效应模型BEM。
图3为利用DIC测量系统,通过对比试件变形前后散斑图像的互相关计算,生成全场位移矢量图,位移不连续线即为裂纹轨迹,通过设置阈值,DIC软件可识别裂纹尖端位置,实时跟踪其运动轨迹(图4),从而得到精确的裂纹扩展长度与时间的关系曲线,避免了传统方法如粘贴应变片的局部性,能捕捉到裂纹跃迁式扩展细节。

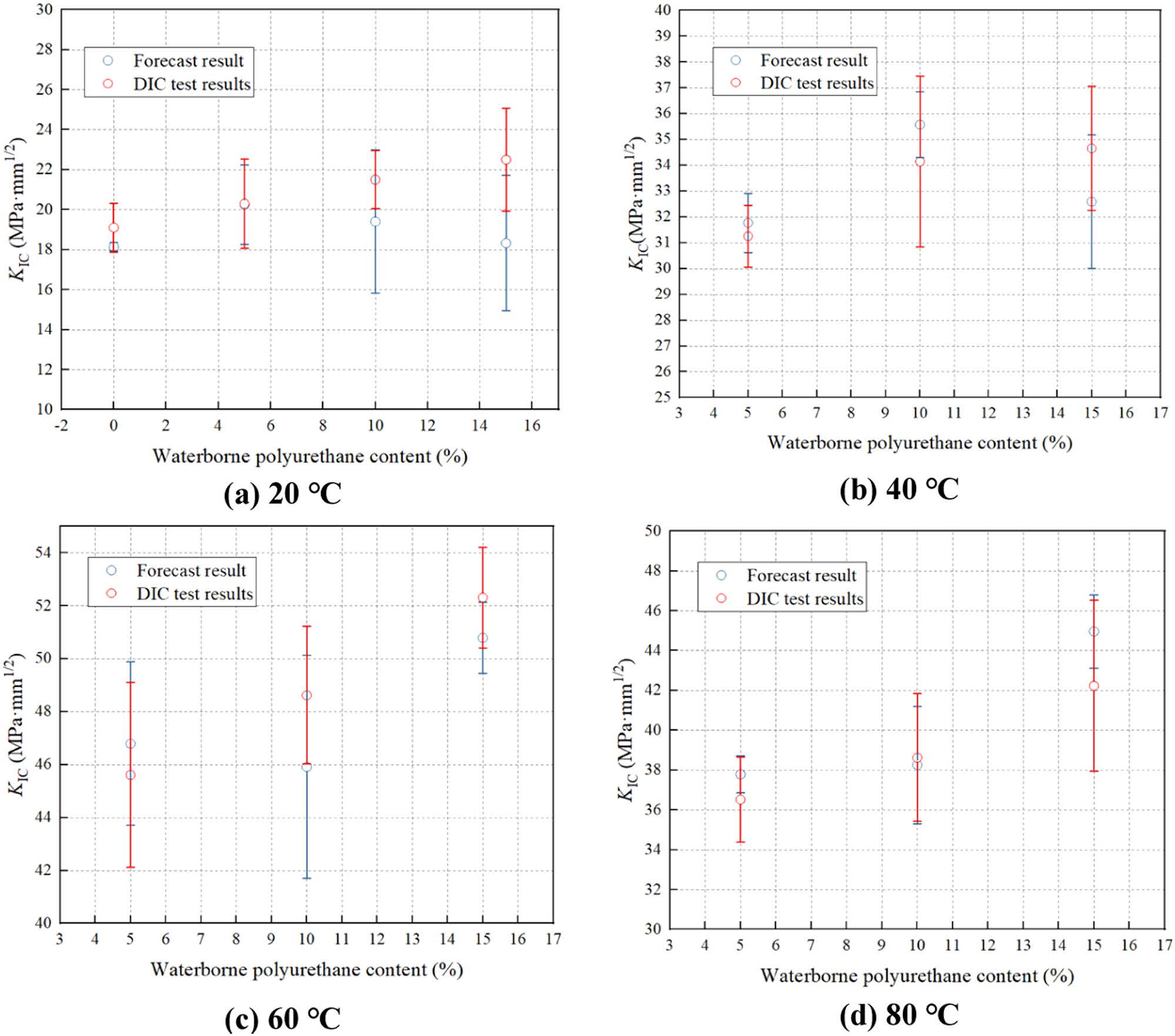
BEM模型中的关键参数等效裂纹长度(aₑ) 和特征裂纹长度(a*_w)的传统计算依赖于理论公式和假设,研究创新性利用DIC测量的真实裂纹扩展历史来标定这些参数,通过将DIC测量的裂纹扩展数据代入模型进行迭代反演分析,提高BEM模型预测断裂韧性(KIC)的准确性和可靠性。图5中预测值与DIC测量值数据吻合,验证了预测模型的有效性,凸显了DIC技术作为标尺在力学模型开发中的核心价值。

图5
4实验结论
I. WP掺量越高,混凝土在高温下的韧性提升越显著。
II. 60°C时,WPMC达到最佳的能量吸收和变形能力。
III. 通过建立特征微观结构参数C和Cw与温度和WP含量之间的关系模型,成功预测了WPMC的断裂韧性值KIC,与DIC测量结果高度一致。
数字图像相关DIC仪器为铁道工程中混凝土结构在极端环境下的应用提供了高精度的全场应变数据,实现了裂纹扩展过程的非接触、可视化、定量化分析,为混凝土断裂力学研究提供了强有力的技术支撑。