1技术背景
实际应用中常发生于低特征环境下,如目标同质化、纹理缺失、光照不足、目标遮挡等,MOT方法面临检测失效痛点,且无法关联并重建轨迹。

为解决痛点,近年来视觉测量工程师们对传统MOT方法不断进行优化改进:
路径一基于深度学习特征增强MOT,核心引入深度神经网络自动提取目标的深度特征,并通过结合长短时记忆网络模型对目标的运动轨迹和外观特征进行联合建模实现多目标跟踪,优势在于自动处理大量数据并学习有用特征,可处理部分低特征场景下的多目标跟踪任务,但模型泛化能力有限,当训练样本与实际应用场景存在差异时,无法有效检测。
路径二生成式特征增强MOT, 核心引入生成式模型增强检测目标的视觉特征,如生成与实际目标相似但具有不同视角、光照条件的新图像,结合生成特征与原始特征,用于后续目标匹配与轨迹关联。该方法一定程度上解决低特征环境下多目标跟踪难题,但面临计算成本高、对生成模型质量敏感以及实时性困局。
2技术路径
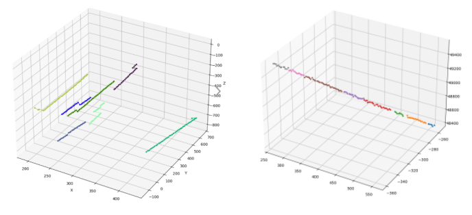
3关键突破 几何重建:基于极线约束的双视角匹配与三维重建,即利用左右高速 时空聚类:追踪多帧图像中的三维点位置构建三维轨迹,再按空间一致性与帧时间连续性对三维点进行分簇,合并距离接近、变化趋势一致的点形成连续轨迹,删除连续帧中出现次数小于阈值的“短轨迹”,以剔除不稳定或偶然出现的噪声点,得到初步筛选后的有效三维轨迹集合。 物理验证:将三维轨迹重投影到左右高速摄像机图像平面,对比左右图像上的投影轨迹,去除重复匹配的轨迹。 轨迹纠错与重连:通过对轨迹进行三维二次曲线拟合,并计算实际轨迹点到拟合曲线的误差,标记超出误差阈值的异常区间,断开异常轨迹段,再依据轨迹分段的空间位置和时间连续性计算相似度,对满足条件的轨迹段进行重连并平滑处理,恢复完整连续轨迹。 4案例验证 5技术展望 千眼狼“基于空间聚类的MOT技术”通过结合双视角匹配与三维重建,有效解决了低特征环境下的目标跟踪难题,利用极线约束筛选匹配点对,通过三维重建获取准确位置信息,采用空间聚类方法优化轨迹,减少了误匹配和轨迹断裂问题,具有较强的抗噪能力和轨迹纠错机制,显著提升了跟踪精度和稳定性。千眼狼将通过算法优化提高实时性,进一步提升低特征场景下高速运动目标跟踪检测与关联效率。
摄像机的内参与外参计算基础矩阵F,并通过极线几何约束筛选匹配点对,最终使用双目几何三角化重建得到3D点云,包含噪声和离群点。



